Power Laws : Similarities in Reddit’s voting system and earthquakes.
A power law is the description for a variable which scales with the following function.

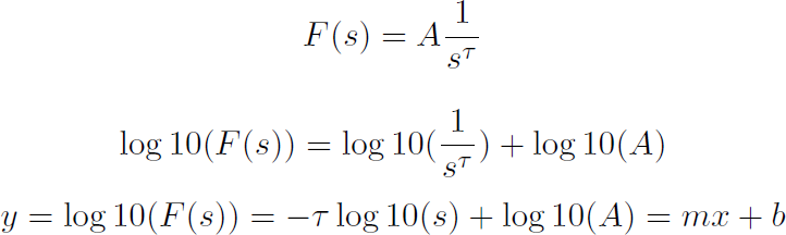
This mathematical function has many interesting properties but for now we will simply describe the mathematical function and interesting cases where this function is observed.
As observed by the last equation power laws will look linear in log-log axes. Many real world systems follow a power law but a famous example is that of the Gutenberg-Richter law in earthquakes. The following plot shows a histogram of earthquake data from 1970 to 2014 gathered by the US Geological Survey. There are deviations as seen in the initial roll off of small magnitude events but one does observe power law scaling for events larger than a 5.0 in the Richter scale. In this case the exponent tau is measured to be around one.

What is interesting is how common such power laws can turn up in unexpected places. Reddit uses a scoring system where users up vote and down vote a comment by a user on a post by other reddit users. The following is a screenshot of Reddit’s comment system.

The scores in this screen shot are 1528,319,137,87,58,47,149,135,8,57,….
One can calculate the change in one score to the next. An example would be 319/1528 would result in approximately 0.21. This process can be continued for the comments in as many top posts as possible. In this case the first 5 pages of reddit are scraped for data and processed on a daily basis. So what is the result of counting the frequency of these measurements. How often did the score grow by 300% or 10000% from one comment to the next. By making a histogram like was done for the earthquake data the following plot is obtained. In this case the exponent tau is measured to be around one similar to the earthquake data.
From these examples we observed that a frequency drop from a Richter magnitude 5.0 earthquake to 6.0 similarly to the frequency drop of an increase by a factor of 10 in a reddit comment to the next to that of a factor of a 100.
